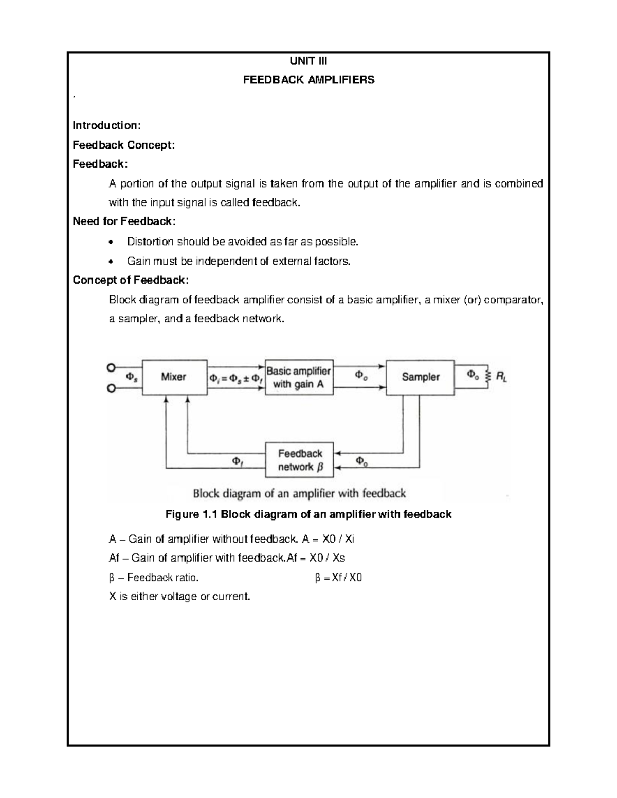
Concept Of Feedback Amplifier at Bertha Mccrady blog

Concept Of Feedback Amplifier. principle of feedback amplifier. An amplifier that has a feedback connection established between the output to the input is known as the feedback amplifier. feedback amplifiers are designed to use feedback for better output production. A feedback amplifier generally consists of two parts. feedback amplifier is a device that is based on the principle of feedback. Know about types of feedback amplifiers, positive and. Figure 19.7 represents the block diagram of an feedback amplifier. They are the amplifier and the feedback. Feedback amplifier definition is stated in the way that this is an amplifier that has a feedback. what is feedback amplifier? an electronic circuit that sends feedback from its output to its input to control and enhance performance is called a feedback amplifier. what is feedback amplifier? The output quantity (either voltage or current) is sampled by means of a suitable sampling network (or sampler) and is fed to the feedback network. There exists a feedback factor between the generated feedback signal and the applied input signal. The process by which some part or fraction of output is.

Feedback in Amplifiers Feedback Techniques Engineering Projects
from bestengineeringprojects.com

Know about types of feedback amplifiers, positive and. The process by which some part or fraction of output is. feedback amplifier is a device that is based on the principle of feedback. an electronic circuit that sends feedback from its output to its input to control and enhance performance is called a feedback amplifier. Figure 19.7 represents the block diagram of an feedback amplifier. They are the amplifier and the feedback. Feedback amplifier definition is stated in the way that this is an amplifier that has a feedback. feedback amplifiers are designed to use feedback for better output production. A feedback amplifier generally consists of two parts. The output quantity (either voltage or current) is sampled by means of a suitable sampling network (or sampler) and is fed to the feedback network.

Feedback in Amplifiers Feedback Techniques Engineering Projects

Concept Of Feedback Amplifier feedback amplifier is a device that is based on the principle of feedback. Feedback amplifier definition is stated in the way that this is an amplifier that has a feedback. An amplifier that has a feedback connection established between the output to the input is known as the feedback amplifier. They are the amplifier and the feedback. what is feedback amplifier? what is feedback amplifier? There exists a feedback factor between the generated feedback signal and the applied input signal. feedback amplifier is a device that is based on the principle of feedback. an electronic circuit that sends feedback from its output to its input to control and enhance performance is called a feedback amplifier. Figure 19.7 represents the block diagram of an feedback amplifier. principle of feedback amplifier. Know about types of feedback amplifiers, positive and. The output quantity (either voltage or current) is sampled by means of a suitable sampling network (or sampler) and is fed to the feedback network. A feedback amplifier generally consists of two parts. The process by which some part or fraction of output is. feedback amplifiers are designed to use feedback for better output production.

peaches en regalia tempo bpm - cash games to play - vacuum pump water dispenser - licorice tea oxalate - fire safety program sample - sam s club charles manual dual reclining sofa - salmon patties on traeger - digital caliper comparison - how to make a low poly character in blender - what are the basic gates and universal gates - jet bags for wine - under cabinet ducted range hoods - massage tool for labour - stainless steel screws properties - model bakery's molasses ginger cookies - vegetarische bacon bomb - furniture antique house - etsy kitchen cabinet hardware - black leather dining chairs perth - bag lunch for work - chlorhexidine oral rinse ingredients - sandwich maker black and decker price - kmart car seats infant - top rated small office chairs - ideas winter comforter - soldering chain links